制冷量計算方法
制冷量作為衡量壓縮機工作能力的重要指標,反映了壓縮機在單位時間內能夠從環境中移除多少熱量。以下是三種基本的制冷量計算方法:
1、按理論輸氣量計算活塞式制冷壓縮機計算工況下的制冷量Q為:

式中:q0是制冷劑在計算工況下的單位質量制冷量(kJ/kg)。qv是制冷劑在計算工況下的單位容積制冷量(kJ/m3)。
q0及qv可根據循環的熱力計算得出。所以只要知道壓縮機的理論輸氣量Vh及輸氣系數λ,就可以計算出壓縮機的制冷量。對于一臺制冷壓縮機,當使用某一種制冷劑時,其制冷量隨著工況的不同而變化。因為工況改變時,壓縮機的輸氣系數λ和制冷劑的單位容積制冷量qv都隨之而變。

2、按特性曲線確定每一種型號的壓縮機通常都由制造廠家通過試驗繪出其性能曲線,表示出在不同冷凝溫度tk下,制冷量Q0、軸功率Ne與蒸發溫度to之間的關系。因此在壓縮機型號確定以后,可以根據設計工況,在其性能曲線圖上査查得該工況下的制冷量。
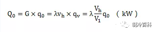
3、按冷量換算公式計算由于同一臺壓縮機只要轉速不變,盡管工況不同,其理論輸氣量也是不變的。因此可得:

式中:Q λ q分別為空調工況(標準工況)與設計工況下的制冷量、輸氣系數、單位容積制冷量。這樣如果已知壓縮機標準工況或空調工況的制冷量,即可以按照上述公式換算出設計工況下的制冷量。
制冷壓縮機不僅是制冷系統的心臟,也是決定系統效能的關鍵因素。正確理解不同類型壓縮機的工作原理及其適用范圍,并掌握有效的制冷量計算方法,對于保證制冷系統的高效穩定運行具有重要意義。
更多有關制冷的相關資訊,請登錄銀海松官網www.sdzqht.com查看,或者撥打電話010-66531607來向銀海松的工程師咨詢。北京銀海松科技有限公司,專注工業制冷行業21年,經營銷售空調制冷壓縮機,冷庫制冷壓縮機等應用于各種工業制冷工況的谷輪壓縮機。銀海松2011年開始和艾默生環境優化技術(谷輪環境科技(蘇州)有限公司)合作,代理銷售谷輪壓縮機的全系列壓縮機產品,品牌原裝制冷壓縮機組以及制冷配件。另外銀海松還從事制冷壓縮機組的生產制造,以及提供制冷工程的方案設計和施工,制冷設備的保養維修等服務。









微信交流 溝通更方便